ΕΙΣΑΓΩΓΙΚΕΣ ΕΝΝΟΙΕΣ ΦΩΤΙΣΜΟΥ
ΤΟΜΕΑΣ ΗΛΕΚΤΡΟΛΟΓΙΑΣ, ΗΛΕΚΤΡΟΝΙΚΗΣ ΚΑΙ ΑΥΤΟΜΑΤΙΣΜΟΥ                                                                                                                       1o ΕΠΑΛ ΑΜΑΡΟΥΣΙΟΥ ΤΕΧΝΙΚΟΣ ΗΛΕΚΤΡΟΛΟΓΙΚΩΝ ΣΥΣΤΗΜΑΤΩΝ, ΕΓΚΑΤΑΣΤΑΣΕΩΝ ΚΑΙ ΔΙΚΤΥΩΝ                                                                                                 3ο ΕΚ Β ΑΘΗΝΑΣ (ΑΜΑΡΟΥΣΙΟΥ)
Σκοπός του Κεφαλαίου Όταν θα έχεi ολοκληρωθεί η μελέτη του κεφαλαίου, ο μαθητής θα είναι σε θέση να: Γνωστικοί στόχοι (γνώσεις) ορίζει τι είναι ηλεκτρομαγνητικό κύμα εξηγεί τον νόμο της ανάκλασης και τον τύπο του κατατάσσει σωστά τις κατηγορίες φωτεινών δεσμών (παράλληλη, συγκλίνουσα, αποκλίνουσα) απαριθμεί τουλάχιστον 3 τρόπους δημιουργίας φωτεινής ακτινοβολίας συγκρίνει το φάσμα της υπέρυθρης, ορατής και υπεριώδους ακτινοβολίας, αναφέροντας χαρακτηριστικά για κάθε μία υπολογίζει τον συντελεστή ανάκλασης εξηγεί ποια φαινόμενα ορίζονται ως εκλεκτική ανάκλαση και πώς σχετίζεται με το χρώμα περιγράφει πώς τα φίλτρα αλλάζουν την φασματική σύσταση του φωτός μέσω απορρόφησης διακρίνει τις κατηγορίες των φωτεινών πηγών (αυτόφωτες vs ετερόφωτες, διαφανή/αδιαφανή/ημιδιαφανή) περιγράφει τη σχέση θερμοκρασίας χρώματος χρωματικής εντύπωσης (warm, cool) Συναισθηματικοί στόχοι (στάσεις) εκφράζει ενδιαφέρον για το μάθημα αναγνωρίζει τη σημασία του φωτισμού στην καθημερινή ζωή, εκφράζει θετική αξιολόγηση για τη μάθηση μέσω πειραμάτων (π.χ. διάχυση, ανάκλαση) Ψυχοκινητικοί στόχοι (δεξιότητες) σχεδιάζει σε χαρτί μια κατοπτρική ανάκλαση με γωνίες πρόσπτωσης και ανάκλασης δημιουργεί μια μικρή πειραματική διάταξη (με φακό, καθρέφτη ή φίλτρο) για να επιδείξει διάχυση ή ανάκλαση υπολογίζει το μήκος κύματος ή τη συχνότητα μέσω τύπων προσομοιώνει τη φασματική κατανομή (π.χ. θερμός vs ψυχρός φωτισμός) χρησιμοποιώντας software ή διαγράμματα, παράγοντας διαφορετικά φάσματα, με ορατές διαφορές
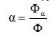
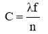
Τρόπος δημιουργίας φωτεινής ακτινοβολία Το φως αποτελεί ηλεκτρομαγνητική ακτινοβολία που διαδίδεται στην ατμόσφαιρα όπως η ενέργεια . Συνεπώς δημιουργείται με τους ίδιους τρόπους που δημιουργείται κάθε ηλεκτρομαγνητική ακτινοβολία . Στην ηλεκτρολογία οι τεχνητές φωτεινές πηγές στηρίζουν την κατασκευή τους σε δύο διαφορετικούς τρόπους : α . στην αύξηση της θερμοκρασίας των υλικών Κατά την αύξηση της θερμοκρασίας των σωμάτων πέρα των 525οC παρατηρείται εκπομπή φωτός . Αυτή η ιδιότητα χρησιμοποιείται στους λαμπτήρες πυράκτωσης των οποίων τα μεταλλικά νήματα θερμαίνονται εκπέμποντας φωτεινή ακτινοβολία . β . στον ιονισμό των ατόμων . Τα υλικά αποτελούνται από μόρια και αυτά από άτομα . Τα άτομα με τη σειρά τους αποτελούνται από πρωτόνια , νετρόνια και ηλεκτρόνια . Τα ηλεκτρόνια περιφέρονται γύρω από τους πυρήνες σε προκαθορισμένες τροχιές (στοιβάδες) . Το κάθε ηλεκτρόνιο έχει συγκεκριμένη ενέργεια που του επιτρέπει να βρίσκεται σε συγκεκριμένη στοιβάδα . Όσο πιο απομακρισμένες είναι οι στοιβάδες από τον πυρήνα του ατόμου τόσο μεγαλύτερη ενέργεια έχουν τα ηλεκτρόνια της αντίστοιχης στοιβάδας . Αυτό σημαίνει ότι ένα ηλεκτρόνιο μιας στοιβάδας μπορεί να μεταπηδήσει σε μια στοιβάδα μεγαλύτερης ενέργειακής στάθμης μόνο εάν προσλάβει την απαραίτητη ενέργεια που χρειάζεται για να μεταπηδήσει στην αντίστοιχη στοιβάδα . Το παραπάνω φαινόμενο ονομάζεται διέγερση του ατόμου που διαρκεί ελάχιστο χρονικό διάστημα αφού το ηλεκτρόνιο επιστρέφει στην αρχική του στοιβάδα με αποτέλεσμα το άτομο να αποδιεγείρετε . Για να συμβεί όμως αυτό θα πρέπει το ηλεκτρόνιο να διώξει την παραπανίσια ενέργεια που προσέλαβε κατά την διέγερση η οποία εκπέμπεται , στο περιβάλλον , υπό την μορφή ακτινοβολίας . Μορφή φωτεινής ακτινοβολίας Σύμφωνα με την ηλεκτρομαγνητική θεωρία του Maxwell η φωτεινή ακτινοβολία αποτελείται από ηλεκτρομαγνητικά κύματα που ξεκινούν από την φωτεινή πηγή και διαδίδονται προς την κατεύθυνση διαδόσεως του φωτός . Κάθε ηλεκτρομαγνητική ακτινοβολία αποτελείται από δύο κύματα , ένα ηλεκτρικό εντάσεως Ε και ένα μαγνητικό εντάσεως Β , των οποίων τα επίπεδα είναι κάθετα μεταξύ τους και διαδίδονται ταυτόχρονα στον χώρο . Ηλεκτρομαγνητικό κύμα Χαρακτηριστικά γνωρίσματα φωτεινής ακτινοβολίας Τα χαρακτηριστικά της φωτεινής ακτινοβολίας είναι τα ίδια με τα χαρακτηριστικά κάθε ηλεκτρομαγνητικής ακτινοβολίας . Αυτά είναι : α . περίοδος : ο χρόνος που χρειάζεται ένα κύμα ώστε να πραγματοποιήσει μια πλήρη ταλάντωση . β . συχνότητα : ο αριθμός των ταλαντώσεων που πραγματοποιεί ένα κύμα στη μονάδα του χρόνου (1 sec) γ . μήκος : η απόσταση μιας πλήρης ταλάντωσης δ . πλάτος : η μέγιστη τιμή που μπορεί να έχει το κύμα . Επεξήγηση : Με τον όρο ταλάντωση εννοούμε μια πλήρη περιστροφή ενός κύματος . Ταχύτητα διάδοσης φωτεινής ακτινοβολίας Η ταχύτητα διάδοσης της φωτεινής ακτινοβολίας ορίζεται από την σχέση : όπου : C : η ταχύτητα διάδοσης της ακτινοβολίας (m/sec) λ : το μήκος κύματος της ακτινοβολίας (m) f : η συχνότητα της ακτινοβολίας (Hz) n : ο συντελεστής διάθλασης του υλικού στο οποίο διαδίδεται η ακτινοβολία Σημείωση : το μήκος κύματος της ακτινοβολίας το μετράμε και σε Angstrom (Αο) όπου 1 Α ο = 10 -10 m . Από την παραπάνω σχέση συμπεραίνουμε ότι η ταχύτητα διάδοσης της ακτινοβολίας είναι ανάλογη του μήκους κύματος της ακτινοβολίας , ανάλογη της συχνότητας της ακτινοβολίας και αντιστρόφως ανάλογη του συντελεστής διάθλασης . Εφαρμογή : Κύμα κινείται με ταχύτητα c = 1•108m/sec όταν διαπερνάει υλικό με συντελεστή διάθλασης η . Να βρεθεί η ταχύτητα του ίδιου κύματος όταν διαπερνάει υλικό με συντελεστή διάθλασης 2η . Φάσμα ηλεκτρομαγνητικής ακτινοβολίας Ανάλογα με το μήκος κύματος , το ηλεκτρομαγνητικό φάσμα διακρίνεται σε διάφορες περιοχές . Η φωτεινή ακτινοβολία αποτελεί μία από τις περιοχές του ηλεκτρομαγνητικού φάσματος . Οι υπόλοιπες περιοχές είναι η κοσμική ακτινοβολία , οι ακτίνες γ , οι ακτίνες Χ , η υπεριώδης ακτινοβολία , οι υπέρυθρες ακτίνες και τα ραδιοκύματα . Οι ορατές ακτινοβολίες έχουν μήκος κύματος από 4000 Α ο 7500 Α ο γεγονός που έχει ως αποτέλεσμα να διεγείρουν το ανθρώπινο μάτι , γιαυτό ονομάζοντα απλώς φως . Παρατήρηση : έρευνες έχουν αποδείξει ότι το ανθρώπινο μάτι παρουσιάζει την μέγιστη ευαισθησία σε ηλεκτρομαγνητικές ακτινοβολίες με μήκος κύματος 5500 Α ο . Σε αυτό το μήκος κύματος αντιστοιχεί το πρασινοκίτρινο φως γιαυτό το λόγο ο άνθρωπος βλέπει καλύτερα στο κίτρινο φως του λαμπτήρα νατρίου . Κατηγορίες ηλεκτρομαγνητικής ακτινοβολίας Καταλαβαίνουμε λοιπόν ότι κάθε ηλεκτρομαγνητική ακτινοβολία διαχωρίζεται σύμφωνα με το μήκος κύματος του στις παραπάνω περιοχές . Γενικά κάθε ηλεκτρομαγνητική ακτινοβολία συνίσταται από διάφορα ηλεκτρομαγνητικά κύματα . Εάν αυτά τα ηλεκτρομαγνητικά κύματα έχουν περίπου το ίδιο μήκος κύματος τότε η ηλεκτρομαγνητική ακτινοβολία ονομάζεται μονοχρωματική . Εάν αυτά τα ηλεκτρομαγνητικά κύματα έχουν διαφορετικά μήκη κύματος τότε η ηλεκτρομαγνητική ακτινοβολία ονομάζεται σύνθετη . Χαρακτηριστικό παράδειγμα σύνθετης ηλεκτρομαγνητικής ακτινοβολίας αποτελεί το λευκό φως που αποτελείται από ηλεκτρομαγνητικά κύματα διαφορετικών μηκών (δηλαδή αποτελείται από διάφορα χρώματα) . Εντός του λευκού φωτός , εκτός από τις ορατές ακτινοβολίες , συνυπάρχουν και αόρατες οι οποίες δεν διεγείρουν το μάτι . Οι αόρατες ακτινοβολίες που έχουν μήκος κύματος μεγαλύτερο του ερυθρού ονομάζονται υπέρυθρες ενώ οι αόρατες ακτινοβολίες που έχουν μήκος κύματος μικρότερο του ιώδους ονομάζονται υπεριώδεις . Κατηγορίες φωτεινής δέσμης Το φως κατά την διάδοση του ακολουθεί ευθεία τροχιά που ονομάζεται φωτεινή ακτίνα . Πολλές φωτεινές ακτίνες συνθέτουν μια φωτεινή δέσμη . Εάν οι φωτεινές ακτίνες είναι παράλληλες μεταξύ τους τότε η φωτεινή δέσμη ονομάζεται παράλληλη . Εάν οι φωτεινές ακτίνες προέρχονται από το ίδιο σημείο και αποκλίνουν μεταξύ τους τότε η φωτεινή δέσμη ονομάζετε αποκλίνουσα . Εάν οι φωτεινές ακτίνες κατευθύνονται προς το ίδιο σημείο τότε η φωτεινή δέσμη ονομάζετε συγκλίνουσα . Παράλληλη δέσμη Αποκλίνουσα δέσμη Συγκλίνουσα δέσμη Κατηγορίες φωτεινών πηγών Οι φωτεινές ακτίνες εκπέμπονται από σώματα που ονομάζονται φωτεινές πηγές . Εάν οι φωτεινές πηγές δημιουργούν από μόνες τους τις φωτεινές ακτίνες τότε ονομάζονται αυτόφωτες . Χαρακτηριστικό παράδειγμα αυτόφωτης πηγής αποτελεί ο ήλιος . Εάν οι φωτεινές πηγές δεν δημιουργούν από μόνες τους τις φωτεινές ακτίνες αλλά απλώς ανακλούν τις φωτεινές ακτίνες που δέχονται από άλλες πηγές τότε ονομάζονται ετερόφωτες . Χαρακτηριστικό παράδειγμα ετερόφωτης πηγής αποτελεί το φεγγάρι . Ανάλογα με την ποσότητα της φωτεινής δέσμης που επιτρέπει ένα ετερόφωτο σώμα να διαπεράσει την μάζα του , τα διακρίνουμε σε διαφανή , αδιαφανή και ημιδιαφανή . Ανάκλαση του φωτός Κατά την πρόσπτωση της φωτεινής δέσμης σε μια επιφάνεια ένα μέρος αυτής θα ανακλαστεί . Εάν οι ανακλώμενες φωτεινές ακτίνες παραμείνουν παράλληλες μεταξύ τους τότε πραγματοποιείται κανονική ανάκλαση . Για να πραγματοποιηθεί κανονική ανάκλαση θα πρέπει η φωτεινή δέσμη να προσπέσει σε μια λεία επιφάνεια όπως η επιφάνεια ενός τζαμιού . Αυτές οι επιφάνειες ονομάζονται ανακλαστικές επιφάνειες ή κάτοπτρα . Αντίθετα εάν οι ανακλώμενες φωτεινές ακτίνες πάψουν να είναι παράλληλες μεταξύ τους και διασκορπιστούν προς τυχαίες διευθύνσεις τότε πραγματοποιείται διαχέουσα ανάκλαση . Κανονική ανάκλαση Διαχέουσα ανάκλαση Επισήμανση : Λεία επιφάνεια ονομάζεται η επιφάνεια της οποίας οι ανωμαλείες που παρουσιάζει έχουν βάθος από 500 nm περίπου . Συμπέρασμα : Το είδος της ανάκλασης εξαρτάται από την υφή της ανακλώμενης επιφάνειας . Το φαινόμενο της κανονικής ανάκλασης χαρακτηρίζεται από δύο νόμους : 1ος Νόμος : Κατά την πρόσπτωση και ανάκλαση μια ακτίνας σε μια επιφάνεια , η ακτίνα πρόσπτωσης , η ακτίνα ανάκλασης και η νοητή ευθεία που είναι κάθετη στο σημείο πρόσπτωσης δημιουργούν ένα επίπεδο (επίπεδο πρόσπτωσης) το οποίο είναι κάθετο στην επιφάνεια ανάκλασης . 2ος Νόμος : Η γωνία πρόσπτωσης και η γωνία ανάκλασης είναι ίσες . Σημείωση : Με τον όρο ανάκλαση εννοούμε όλες τις περιπτώσεις αλλαγής πορείας μιας φωτεινής δέσμης και όχι μόνο την κανονική ανάκλαση . Εάν θεωρήσουμε ότι σε μια επιφάνεια προσπίπτει φωτεινή ροή Φ και ανακλάται ένα μέρος αυτής με φωτεινή ροή Φα τότε ορίζεται ο συντελεστής ανάκλασης από την σχέση : Υπάρχουν υλικά στα οποία όταν προσπέσει σε αυτά φωτεινή δέσμη δεν αλλάζει η σύνθεση της με αποτέλεσμα η ανακλώμενη δέσμη να αποτελείται από τις ίδιες ακτίνες από τις οποίες αποτελείται και η προσπίπτουσα . Σε αυτά τα υλικά ο συντελεστής ανάκλασης είναι ανεξάρτητος του μήκους κύματος και ανάλογα με τον συντελεστή ανάκλασης που διαθέτουν κατατάσσονται στις ακόλουθες κατηγορίες : Λευκά : διαθέτουν συντελεστή ανάκλασης μεγαλύτερο από 0,75 ή 75% . Όταν πέσει επάνω τους δέσμη λευκού φωτός δίνουν την εντύπωση λευκού χρώματος . Γκρίζα : διαθέτουν συντελεστή ανάκλασης από 0,05 ή 5% εώς 0,75 ή 75% . Όταν πέσει επάνω τους δέσμη λευκού φωτός δίνουν την εντύπωση γκρι χρώματος . Μελανά : διαθέτουν συντελεστή ανάκλασης μικρότερο από 0,05 ή 5% . Όταν πέσει επάνω τους δέσμη λευκού φωτός δίνουν την εντύπωση μαύρου χρώματος . Στα περισσότερα υλικά όμως όταν πέσει επάνω τους το λευκό φως , το οποίο αποτελείται από διάφορες μονοχρωματικές ακτίνες , αποροφούν ή εξασθενούν κάποιες από αυτές και ανακλούν κάποιες άλλες με αποτέλεσμα να αντιλαμβάνόμαστε το υλικό με κάποιο χρώμα . Γιαυτό τον λόγω άλλα υλικά τα αντιλαμβανόμαστε κόκκινα άλλα πράσινα κλπ . Το παραπάνω φαινόμενο ονομάζεται εκλεκτική ανάκλαση και εμφανίζεται στα υλικά των οποίων ο συντελεστής ανάκλασης εξαρτάται από το μήκος κύματος της ακτινοβολίας . Συμπέρασμα : Η σύνθεση της ανακλώμενης δέσμης , δηλαδή οι ακτινοβολίες από τις οποίες αποτελείται , εξαρτάται από το υλικό της ανακλώμενης επιφάνειας . Εφαρμογή : Μια φωτεινή δέσμη προσπίπτει σε μια επιφάνεια . Αν η φωτεινή ροή της προσπίπτουσας δέσμης είναι Φπ=100 lumen και η φωτεινή ροή της ανακλώμενης φωτεινής δέσμης είναι 95 lumen να βρείτε τον συντελεστή ανάκλασης της επιφάνειας . Σύμφωνα με τον πίνακα 1.3 της σελ. 39 του σχολικού βιβλίου να επιλέξετε το υλικό της επιφάνειας . Απορρόφηση του φωτός Το φως όταν περνάει μέσα από ένα υλικό παθαίνει απορρόφηση δηλαδή ένα μέρος του απορροφάται από το υλικό . Το φαινόμενο της απορρόφησης χαρακτηρίζεται από τον συντελεστή απορρόφησης ρ που δηλώνει το ποσοστό της προσπίπτουσας φωτεινής ροής που αποροφάται από το υλικό . Εάν θεωρήσουμε ότι σε μια επιφάνεια προσπίπτει φωτεινή ροή Φ και απορροφάται ένα μέρος αυτής με φωτεινή ροή Φρ τότε ορίζεται ο συντελεστής απορρόφησης από την σχέση : Τα έγχρωμα φίλτρα δεν απορροφούν ομοιόμορφα τις διάφορες φωτεινές ακτίνες μιας σύνθετης ακτινοβολίας με αποτέλεσμα να μεταβάλλουν τη φασματική σύνθεση της φωτεινής ροής που πέφτει σε αυτά . Αυτό έχει ως αποτέλεσμα να αλλάζει το χρώμα της ακτινοβολίας όταν περάσει μέσα από τα φίλτρα . QUIZ: Ανάκλαση, Διάχυση ή Απορρόφηση; Χρώμα ενός υλικού Το χρώμα ενός διαφανούς σώματος εξαρτάται από τις ακτινοβολίες που απορροφά το σώμα . Το χρώμα ενός αδιαφανούς σώματος εξαρτάται από τις ακτινοβολίες που ανακλά , διαχέει και απορροφά το σώμα . Γενικά μπορούμε να πούμε ότι μια επιφάνεια αποδίδει σωστά το χρώμα της όταν φωτίζεται από φωτεινή πηγή που περιέχει όλα τα μήκη κύματος σε σωστή αναλογία . Προσοχή : Η εντύπωση του χρώματος διαφέρει από άνθρωπο σε άνθρωπο . Δείκτης χρωματικής απόδοσης R φωτεινής πηγής Ο Δείκτης Χρωματικής Απόδοσης (Color Rendering Index CRI), που συχνά σημειώνεται ως Ra ή απλώς R, είναι μέτρο του πόσο πιστά μια φωτεινή πηγή αποδίδει τα χρώματα των αντικειμένων σε σύγκριση με μια ιδανική ή αναφοράς πηγή ίδιου χρώματος θερμοκρασίας. Βασική ιδέα Αν δύο αντικείμενα έχουν ίδια χρώματα αλλά φωτίζονται από διαφορετικές πηγές, το πώς φαίνονται εξαρτάται από το φάσμα της κάθε πηγής. Ο CRI δείχνει σε κλίμακα 0–100 πόσο κοντά στο φυσικό ή ιδανικό φως είναι η χρωματική απόδοση. CRI = 100 --> Τέλεια απόδοση χρώματος (π.χ. ήλιος, πυρακτώσεως λάμπα). CRI < 80 --> Αρχίζουν να φαίνονται αποκλίσεις και χρωματικές αλλοιώσεις. Πώς μετριέται Η πηγή αναφοράς είναι: Μέλανο σώμα για CCT ≤ 5000 K. Πρότυπο φως ημέρας (D-series) για CCT > 5000 K. Επιλέγονται 8 τυπικά δείγματα χρώματος (R1–R8) και μετρώνται οι χρωματικές διαφορές μεταξύ της υπό εξέταση πηγής και της αναφοράς. Ο μέσος όρος των 8 αποτελεσμάτων δίνει τον Ra. Για πιο εξειδικευμένες εφαρμογές υπολογίζονται και επιπλέον δείκτες R9–R15, όπου π.χ. ο R9 αφορά καθαρά κόκκινα, σημαντικά σε ιατρικό ή φωτογραφικό φωτισμό. Τυπικές τιμές CRI Σχέση με την ποιότητα φωτισμού Υψηλό CRI --> τα χρώματα φαίνονται φυσικά, χωρίς έντονες αλλοιώσεις. Χαμηλό CRI --> ορισμένα χρώματα “σβήνουν” ή αλλοιώνονται (π.χ. κόκκινα να φαίνονται καφέ). Σχέση μεταξύ θερμοκρασίας και χρώματος Κάθε φωτεινή πηγή εκπέμπει ακτινοβολίες που περιλαμβάνουν κάποια μήκη κύματος . Ανάλογα με τα μήκη κύματος η φωτεινή πηγή μας δημιουργεί κάποια εντύπωση . Για παράδειγμα εάν η φωτεινή πηγή εκπέμπει φάσμα πλούσιο σε ερυθρές ακτινοβολίες τότε η φωτεινή πηγή δίνει θερμή εντύπωση . Αντίθετα εάν η φωτεινή πηγή εκπέμπει φάσμα πλούσιο σε κυανές ακτινοβολίες τότε η φωτεινή πηγή δίνει ψυχρή εντύπωση . Έχει παρατηρηθεί ότι ανάλογα με την θερμοκρασία της , η φωτεινής πηγής εκπέμπει και διαφορετικά φάσματα ακτινοβολιών . Συμπέρασμα : Υπάρχει σχέση μεταξύ της θερμοκρασίας και της χρωματικής εντύπωσης μιας φωτεινής πηγής . Για τον λόγο αυτό έχουν μελετηθεί οι ιδιότητες του μελανός σώματος το οποίο εκπέμπει ακτινοβολία υπό την μορφή θερμότητας . Άρα όταν λέμε ότι μια φωτεινή πηγή έχει θερμοκρασία χρώματος Tc εννοούμε ότι η φασματική κατανομή που εκπέμπει μοιάζει με της φασματική κατανομή της ακτινοβολίας που εκπέμπει το μέλαν σώμα όταν βρίσκεται σε θερμοκρασία Tc . Προσοχή : Η θερμοκρασία χρώματος μετράται σε βαθμούς Kelvin ( ο Κ ) . Σύμφωνα με τα παραπάνω διακρίνουμε τις φωτεινές πηγές σε τρεις βασικές κατηγορίες : Φωτεινές πηγές που η φασματική κατανομή της ακτινοβολίας που εκπέμπουν αντιστοιχεί σε θερμοκρασίες χρώματος μικρότερες των 3300 ο Κ και ονομάζονται θερμές διότι το φάσμα τους είναι πλούσιο σε ερυθρές ακτινοβολίες . Φωτεινές πηγές που η φασματική κατανομή της ακτινοβολίας που εκπέμπουν αντιστοιχεί σε θερμοκρασίες χρώματος μεταξύ των 3300ο Κ και 5000 ο Κ και ονομάζονται ουδέτερες διότι το φάσμα τους είναι πλούσιο σε λευκές ακτινοβολίες . Φωτεινές πηγές που η φασματική κατανομή της ακτινοβολίας που εκπέμπουν αντιστοιχεί σε θερμοκρασίες χρώματος μεγαλύτερες των 5000 ο Κ και ονομάζονται ψυχρές διότι το φάσμα τους είναι πλούσιο σε κυανές ακτινοβολίες Φωτισμός τονισμού με διαφορετικές θερμοκρασίες χρώματος QUIZ: Επιλογή Κατάλληλης Θερμοκρασίας Χρώματος
Ερώτηση : γιατί μπορούμε να διαβάζουμε ευκολότερα ένα βιβλίο του οποίου οι σελίδες είναι τραχιές και όχι λείες και στιλπνές;
Μια πολύ σημαντική εφαρμογή της εσωτερικής ανάκλασης είναι οι οπτικές ίνες. Επιτυγχάνουμε διάδοση φωτός με ελάχιστες απώλειες για πολύ μεγάλες αποστάσεις
Αν η ανάκλαση είναι υπεύθυνη για το ότι βλέπουμε τα αντικείμενα που φωτίζονται άμεσα από μία φωτεινή πηγή, το γεγονός πως βλέπουμε γύρω μας τα πάντα, ακόμα κι αν αυτά δεν φωτίζονται άμεσα από τον ήλιο ή από άλλη φωτεινή πηγή, αυτό οφείλεται στο πολύ σημαντικό φαινόμενο της διάχυσης. Έτσι, ακόμα κι αν έχει συννεφιά, ή βρισκόμαστε σε ένα δωμάτιο όπου δεν μπαίνουν οι ακτίνες του ήλιου, εμείς χάρη στην διάχυση βλέπουμε κανονικά γύρω μας. Στην ηλιόλουστη Σελήνη (όπου δεν υπάρχει ατμόσφαιρα για να γίνει διάχυση του φωτός, ό,τι δεν φωτίζεται δεν φαίνεται καν! Σαν να μην υπάρχει.
Πειραματιστείτε με την ακόλουθη εφαρμογή
Η θερμοκρασία χρώματος είναι ένας τρόπος για να περιγράψουμε τον χρωματισμό φωτός που παράγεται από μια πηγή φωτισμού. Μετράτε σε βαθμούς Κέλβιν (Κ) σε κλίμακα από 1.000 έως 10.000. Συνήθως, οι θερμοκρασίες Κέλβιν για εμπορικές και οικιακές εφαρμογές φωτισμού κυμαίνονται σε κλίμακα από 2700Κ έως 6500Κ Αποτελεί μια μέτρηση της ‘’ζεστασιάς’’ ή της ‘’ψυχρότητας’’ μιας πηγής φωτός. Μια μέτρηση της απόχρωσης του λευκού φωτός.
Η κατανόηση της θερμοκρασίας Κέλβιν διευκολύνει την επιλογή φωτισμού που μας δίνει την εμφάνιση και την αίσθηση που θέλουμε Στο ένα άκρο της κλίμακας, από 2700Κ έως 3000Κ, το παραγόμενο φως ονομάζεται “ζεστό λευκό” και κυμαίνεται από πορτοκαλί έως κίτρινο-λευκό στην εμφάνιση. Οι θερμοκρασίες χρώματος μεταξύ 3100Κ και 4500Κ αναφέρονται ως “δροσερό λευκό” ή “φωτεινό λευκό”. Οι λαμπτήρες σε αυτό το εύρος θα εκπέμπουν ένα πιο ουδέτερο λευκό φως και μπορεί ακόμη και να έχουν μια ελαφρώς μπλε απόχρωση. Πάνω από 4500Κ μας φέρνει στη θερμοκρασία φωτός που συνήθως περιγράφουμε ως “φως της ημέρας
Χώροι κατάλληλοι για Θερμό Φωτισμό (2700Κ-3500Κ) Αυτό είναι το φως που πιθανότατα να είστε πιο εξοικειωμένοι, αφού εφαρμόζεται στον φωτισμό κατοικίας ή ενός εστιατορίου. Η ζεστή λάμψη των χαμηλότερων θερμοκρασιών χρώματος θυμίζει συχνά το ηλιοβασίλεμα ή τη λάμψη μιας φωτιάς. Πηγές φωτισμού με τέτοιες θερμοκρασίες χρώματος μπορούν να εφαρμοστούν στο σαλόνι, στο μπάνιο, στην κουζίνα, σε χώρους εστίασης, σε ξενοδοχεία, σε καταστήματα, κ.ά. Χώροι κατάλληλοι για Ουδέτερο/Φυσικό Φωτισμό (4000Κ-4500Κ) Μερικές φορές, ένα ζεστό και άνετο περιβάλλον δεν είναι κατάλληλο για τη δουλειά που έχετε. Όταν χρειάζεστε ακρίβεια και καθαρότητα στο περιβάλλον σας, ο δροσερός λευκός φωτισμός είναι ιδανικός. Οπότε πρέπει να επιλέξετε θερμοκρασίες χρώματος πάνω από 4100Κ σε χώρους όπως γκαράζ, σε γραφεία, καταστήματα λιανικής πώλησης, κτλ Χώροι κατάλληλοι για Ψυχρό Φωτισμό (5000K-6500K) Η θερμοκρασία χρώματος 5000Κ πλησιάζει την ένταση και τη διαύγεια του ηλιακού φωτός και χρησιμοποιείται καλύτερα σε επαγγελματικούς χώρους όπου απαιτείται ακρίβεια. Αυτές οι θερμοκρασίες χρώματος εφαρμόζονται συνήθως σε αθλητικές εγκαταστάσεις, αποθήκες, κέντρα υγείας, νοσοκομεία, θερμοκήπια, κ.ά.
Η «μορφή της φωτεινής ακτινοβολίας» μπορεί να εννοηθεί με διάφορους τρόπους, ανάλογα με το αν μιλάμε φυσικά/φυσικοχημικά ή οπτικά/φωτοτεχνικά. Θα την εξηγήσουμε σε τρία επίπεδα, από πιο θεμελιώδες προς πιο εφαρμοσμένο: 1. Στη φυσική – Ηλεκτρομαγνητικό κύμα Το φως είναι μορφή ηλεκτρομαγνητικής ακτινοβολίας. Μπορεί να περιγραφεί ως κύμα (συνεχές ηλεκτρικό και μαγνητικό πεδίο που ταλαντώνεται κάθετα μεταξύ τους και κάθετα στη διεύθυνση διάδοσης). Μπορεί επίσης να περιγραφεί σωματιδιακά με φωτόνια (κβάντα ενέργειας). Η «μορφή» εδώ σχετίζεται με το μήκος κύματος συχνότητα), που καθορίζει το χρώμα στο ορατό φάσμα. 2. Ως κατανομή ενέργειας – Φασματική μορφή Η φωτεινή ακτινοβολία έχει φασματική κατανομή: πόση ισχύς υπάρχει σε κάθε μήκος κύματος. Η μορφή αυτή μπορεί να είναι στενή (μονόχρωμη, π.χ. λέιζερ) ή ευρεία (πολύχρωμη, π.χ. ήλιος). Επίσης μπορεί να έχει πολικότητα (π.χ. πολωμένο φως) και χρονική δομή (συνεχές ή παλμικό). 3. Στην οπτική τεχνολογία – Χωρική μορφή Στην οπτική, η «μορφή» μπορεί να σημαίνει κατανομή έντασης στο χώρο (beam profile). Π.χ. μια δέσμη λέιζερ μπορεί να είναι Gaussιανή (κυκλικά συμμετρική, μέγιστο στο κέντρο), ή ομοιόμορφη, ή με δακτυλίους. Η μορφή καθορίζεται από τον τρόπο παραγωγής και διάδοσης (οπτικά στοιχεία, εμπόδια, περίθλαση). Συνοπτικά: Η «μορφή» της φωτεινής ακτινοβολίας μπορεί να περιγράφει: Την κυματομορφή της (φυσική περιγραφή). Την κατανομή στο φάσμα (χρωματική σύνθεση). Την κατανομή στο χώρο (σχήμα δέσμης ή φωτεινού πεδίου).
Η σχέση θερμοκρασίας και χρώματος είναι βασική στην φυσική της ακτινοβολίας και συναντάται σε φαινόμενα όπως η λάμψη ενός θερμαινόμενου σώματος. 1. Η αρχή Ένα αντικείμενο που θερμαίνεται εκπέμπει ηλεκτρομαγνητική ακτινοβολία λόγω της θερμικής του ενέργειας. Η θερμοκρασία καθορίζει το φάσμα της ακτινοβολίας, άρα και το κυρίαρχο χρώμα. Το φαινόμενο περιγράφεται από τη θεωρία του μέλανος σώματος (blackbody radiation). 2. Νόμος μετατόπισης του Wien Δίνει τη σχέση μεταξύ θερμοκρασίας (Τ) και του μήκους κύματος λ_max στο οποίο η ακτινοβολία έχει τη μέγιστη ένταση: λmax​=T/b​ όπου b ≈ 2,898×10 −3 m\cdotpK Όσο αυξάνεται η θερμοκρασία, το μέγιστο του φάσματος μετατοπίζεται προς μικρότερα μήκη κύματος (δηλαδή από το κόκκινο προς το μπλε). 3. Πρακτικά παραδείγματα Θερμοκρασία (K) Κυρίαρχο Χρώμα Παράδειγμα ~1 000–2 000 --> Βαθύ κόκκινο --> Θερμή αντίσταση σόμπας ~3 000 --> Κοκκινοπορτοκαλί --> Λάμπα πυράκτωσης ~5 800 - -> Λευκοκίτρινο --> Ήλιος ~10 000+ --> Μπλε-λευκό --> Αστέρες τύπου O 4. Σημείωση για το “χρώμα θερμοκρασίας” Στην φωτογραφία και φωτισμό, η θερμοκρασία χρώματος (σε Kelvin) είναι μια μέτρηση που περιγράφει το αν το φως φαίνεται «θερμό» (κιτρινωπό) ή «ψυχρό» (μπλε). Δεν είναι η πραγματική θερμοκρασία του αντικειμένου, αλλά η θερμοκρασία μέλανος σώματος που θα εξέπεμπε παρόμοιο φως.
Η απορρόφηση του φωτός είναι το φαινόμενο κατά το οποίο η ενέργεια της φωτεινής ακτινοβολίας μετατρέπεται σε άλλη μορφή ενέργειας (συνήθως θερμότητα ή χημική ενέργεια) καθώς το φως περνά μέσα από ένα υλικό ή προσπίπτει σε αυτό. Τι συμβαίνει σε ατομικό/μοριακό επίπεδο Όταν ένα φωτόνιο έχει ενέργεια που ταιριάζει με τη διαφορά ενεργειακών σταθμών ενός ατόμου ή μορίου, μπορεί να απορροφηθεί. Το άτομο ή μόριο διεγείρεται σε υψηλότερη ενεργειακή στάθμη. Η ενέργεια αυτή μπορεί να: Μετατραπεί σε θερμότητα (μη-ακτινοβόλος αποδιέγερση). Εκπεμφθεί ξανά ως φως (φθορισμός, φωσφορισμός). Οδηγήσει σε χημική αντίδραση (π.χ. φωτοσύνθεση, φωτοδιάσπαση). Εξάρτηση από το μήκος κύματος Τα περισσότερα υλικά δεν απορροφούν το ίδιο όλα τα μήκη κύματος. Γι’ αυτό βλέπουμε χρώματα: το χρώμα ενός αντικειμένου είναι το τμήμα του φάσματος που δεν απορροφάται αλλά ανακλάται ή διαπερνά το υλικό. Παραδείγματα Φυτά: η χλωροφύλλη απορροφά κυρίως στο μπλε και κόκκινο, όχι στο πράσινο. Ηλιακά πάνελ: σχεδιασμένα να απορροφούν ευρύ φάσμα για μέγιστη παραγωγή ενέργειας. Φίλτρα φωτογραφίας: απορροφούν συγκεκριμένα μήκη κύματος για να αλλάξουν την απόχρωση. Συμπέρασμα: Η απορρόφηση φωτός είναι θεμελιώδης στην οπτική, τη φασματοσκοπία, τη φωτοχημεία και την ενεργειακή τεχνολογία. Μας εξηγεί γιατί βλέπουμε χρώματα, πώς λειτουργούν τα φωτοβολταϊκά και γιατί κάποια υλικά θερμαίνονται στον ήλιο.
Η ανάκλαση του φωτός είναι το φαινόμενο κατά το οποίο η φωτεινή ακτινοβολία επιστρέφει πίσω όταν συναντήσει την επιφάνεια ενός υλικού, αντί να διαπεράσει ή να απορροφηθεί. Είναι από τα πιο θεμελιώδη φαινόμενα στην οπτική και μας επιτρέπει να βλέπουμε αντικείμενα. Βασική αρχή Όταν μια φωτεινή ακτίνα προσπίπτει σε μια επιφάνεια, ένα μέρος της ενέργειας: Ανακλάται (επιστρέφει στο μέσο προέλευσης). Διαπερνά (διαθλάται) ή Απορροφάται. Η ανακλώμενη ακτίνα υπακούει στον νόμο της ανάκλασης: Γωνια προσπτωσης=Γωνια ανακλασης μετρούμενες ως προς την κάθετη στην επιφάνεια. Τύποι ανάκλασης Κατοπτρική (specular) Η επιφάνεια είναι λεία σε σχέση με το μήκος κύματος του φωτός. Οι ακτίνες διατηρούν τη γεωμετρική τους σχέση → σχηματίζεται καθαρή εικόνα. Παράδειγμα: καθρέφτης, ήρεμη λίμνη. Διάχυτη (diffuse) Η επιφάνεια έχει μικροανομοιομορφίες οι ακτίνες ανακλώνται προς πολλές κατευθύνσεις. Δεν σχηματίζεται καθαρή εικόνα, αλλά βλέπουμε το αντικείμενο από κάθε γωνία. Παράδειγμα: λευκός τοίχος, χαρτί. Μικτή ανάκλαση Συνδυασμός κατοπτρικής και διάχυτης, συχνό στις περισσότερες πραγματικές επιφάνειες. Συντελεστής ανάκλασης (Reflectance) Εκφράζει το ποσοστό της έντασης που ανακλάται σε σχέση με την προσπίπτουσα. Εξαρτάται από: Το υλικό και το χρώμα του. Το μήκος κύματος του φωτός. Τη γωνία πρόσπτωσης. Ειδικές περιπτώσεις Ολική εσωτερική ανάκλαση: συμβαίνει όταν το φως μέσα σε ένα υλικό με υψηλότερο δείκτη διάθλασης συναντήσει το όριο με μικρότερο δείκτη σε γωνία μεγαλύτερη από τη κρίσιμη γωνία. Χρησιμοποιείται στις οπτικές ίνες. Κατοπτρική ανάκλαση με πόλωση: το ανακλώμενο φως μπορεί να είναι μερικώς πολωμένο, κάτι που εκμεταλλεύονται τα πολωτικά γυαλιά ηλίου. Συμπέρασμα Η ανάκλαση είναι κεντρική στην όραση, στις φωτογραφικές λήψεις, στον σχεδιασμό οπτικών συστημάτων και στην τεχνολογία (π.χ. τηλεσκόπια, λέιζερ). Χωρίς την ανάκλαση, οι επιφάνειες θα ήταν αόρατες εκτός αν εξέπεμπαν φως από μόνες τους.
Η φωτεινή ακτινοβολία (δηλαδή το ορατό φως) μπορεί να δημιουργηθεί με διάφορους φυσικούς και τεχνητούς τρόπους. Βασικά, μιλάμε για μηχανισμούς με τους οποίους ενέργεια μετατρέπεται σε ηλεκτρομαγνητική ακτινοβολία στο ορατό φάσμα (περίπου 380–750 nm). 1. Θερμική εκπομπή (incandescence) Όταν ένα σώμα θερμανθεί αρκετά, τα άτομα/μόρια του ταλαντώνονται έντονα και εκπέμπουν φως. Όσο πιο υψηλή η θερμοκρασία, τόσο πιο «λευκό» γίνεται το φως (νόμος του Planck για μέλανο σώμα). Παράδειγμα: λάμπα πυράκτωσης, λιωμένο μέταλλο, ο Ήλιος. 2. Φωταύγεια (luminescence) Εκπομπή φωτός χωρίς να απαιτείται υψηλή θερμοκρασία. Έχει πολλές μορφές: Φθορισμός: απορρόφηση φωτονίου και εκπομπή φωτονίου μικρότερης ενέργειας σχεδόν άμεσα. Παράδειγμα: λάμπες φθορισμού, μαρκαδόροι UV. Φωσφορισμός: παρόμοιο με τον φθορισμό, αλλά με καθυστέρηση (παγιδευμένη ενέργεια). Παράδειγμα: αυτοκόλλητα που «λάμπουν» στο σκοτάδι. Χημειοφωταύγεια (chemiluminescence): φως από χημικές αντιδράσεις. Παράδειγμα: glow sticks. Βιοφωταύγεια (bioluminescence): ειδική περίπτωση χημειοφωταύγειας σε ζωντανούς οργανισμούς. Παράδειγμα: πυγολαμπίδες, βακτήρια, θαλάσσια ζώα. Ηλεκτροφωταύγεια: εκπομπή φωτός όταν εφαρμόζεται ηλεκτρικό πεδίο. Παράδειγμα: LED, οθόνες OLED. 3. Επιταχυνόμενα φορτία Όταν φορτισμένα σωματίδια (π.χ. ηλεκτρόνια) επιταχύνονται, εκπέμπουν ηλεκτρομαγνητική ακτινοβολία. Αν η ενέργεια πέσει στο ορατό φάσμα → έχουμε φως. Παράδειγμα: λάμπες εκκένωσης (νέον, υδραργύρου), ακτινοβολία synchrotron. 4. Ειδικές μορφές Λέιζερ: φως που παράγεται μέσω διέγερσης και εξαναγκασμένης εκπομπής (stimulated emission). Έχει εξαιρετικά μεγάλη καθαρότητα χρώματος και κατευθυντικότητα. Αστρικές διεργασίες: το φως των άστρων παράγεται από θερμικές διεργασίες και πυρηνικές αντιδράσεις. Συμπέρασμα: Η φωτεινή ακτινοβολία μπορεί να προκύψει είτε από θερμότητα (πυράκτωση), είτε από διέγερση ατόμων/μορίων με άλλους τρόπους (διάφορες μορφές φωταύγειας, ηλεκτρική εκπομπή, λέιζερ). QUIZ Τρόπος δημιουργίας φωτεινής ακτινοβολίας
Το φάσμα της ηλεκτρομαγνητικής ακτινοβολίας περιλαμβάνει όλα τα είδη ακτινοβολίας που παράγονται από τα ηλεκτρομαγνητικά κύματα. Αυτά διαφέρουν μεταξύ τους ως προς το μήκος κύματος (λ) και τη συχνότητα (f), αλλά όλα έχουν την ίδια ταχύτητα στο κενό (c ≈ 3·10⁸ m/s). Βασικές περιοχές του φάσματος (από μεγάλα μήκη κύματος μικρά μήκη κύματος): Ραδιοκύματα Μήκος κύματος: από χιλιόμετρα έως μερικά εκατοστά Χρήσεις: ραδιόφωνο, τηλεόραση, κινητά, δορυφορικές επικοινωνίες Μικροκύματα Μήκος κύματος: εκατοστά έως χιλιοστά Χρήσεις: φούρνος μικροκυμάτων, ραντάρ, δορυφορικές επικοινωνίες Υπέρυθρη ακτινοβολία (IR) Μήκος κύματος: 700 nm – 1 mm Χαρακτηρίζεται ως "θερμική ακτινοβολία" Χρήσεις: τηλεχειριστήρια, θερμικές κάμερες, ιατρικές εφαρμογές Ορατό φως Μήκος κύματος: ~400 – 700 nm Είναι το μόνο τμήμα του φάσματος που ανιχνεύει το ανθρώπινο μάτι Χρώματα: Βιολετί: ~400 nm Μπλε: ~450 nm Πράσινο: ~500–550 nm Κίτρινο: ~580 nm Πορτοκαλί: ~600 nm Κόκκινο: ~650–700 nm Υπεριώδης ακτινοβολία (UV) Μήκος κύματος: 10 – 400 nm Υποδιαιρείται σε UVA, UVB, UVC Χρήσεις: αποστείρωση, φθορισμός, βιολογικές επιδράσεις στο δέρμα Ακτίνες Χ Μήκος κύματος: 0,01 – 10 nm Ισχυρή διεισδυτική ικανότητα Χρήσεις: ιατρικές ακτινογραφίες, έλεγχος υλικών Ακτίνες γ (γάμμα) Μήκος κύματος: < 0,01 nm Προέρχονται από πυρηνικές διεργασίες Χρήσεις: αντικαρκινικές θεραπείες, αποστείρωση τροφίμων, πυρηνική φυσική