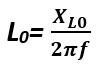
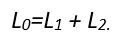
ΜΕΤΡΗΣΗ ΣΥΝΤΕΛΕΣΤΩΝ ΑΥΤΕΠΑΓΩΓΗΣ ΔΥΟ ΠΗΝΙΩΝ (L1 & L2) ΣΕ ΣΕΙΡΑ Α. ΘΕΩΡΗΤΙΚΟ ΜΕΡΟΣ Στα ηλεκτρικά κυκλώματα πολλές φορές υπάρχει η ανάγκη να συνδεθούν δύο ή περισσότερα πηνία σε σειρά. Στην περίπτωση αυτή που τα πηνία συνδέονται σε σειρά και δεν υπάρχει μαγνητική σύζευξη, δηλαδή δεν έχουμε μαγνητική επίδραση του ενός προς το άλλο, η ισοδύναμη συνολική αυτεπαγωγή που παρουσιάζουν τα πηνία στο κύκλωμα είναι : Η τιμή της εξαρτάται από την συχνότητα του ρεύματος και τα χαρακτηριστικά στοιχεία του πηνίου (μήκος, διάμετρο, και αριθμό σπειρών) δηλαδή τον συντελεστή αυτεπαγωγής L. Οπότε: Β. ΚΥΚΛΩΜΑ ΜΕΤΡΗΣΕΩΝ Γ. ΠΟΡΕΙΑ ΕΡΓΑΣΙΑΣ Η μέτρηση μιας αυτεπαγωγής μπορεί απλά να επιτευχθεί με αμπερόμετρο και βολτόμετρο όταν μετρηθούν τα ηλεκτρικά μεγέθη του κυκλώματος Καταρχάς, συνδέστε το κύκλωμα χρησιμοποιώντας δύο πηνία αυτεπαγωγής L1 και L2 Μετρήστε το ρεύμα του πηνίου Ι L για κάθε μια τιμή της τάσης όπως εμφανίζεται στον πίνακα μετρήσεων Υπολογίστε τις επαγωγικές αντιστάσεις X L1 και X L2 καθώς και τις αυτεπαγωγές L1 και L2 Συμπληρώστε τον πίνακα μετρήσεων Μπορείτε να πραγματοποιήσετε την εργαστηριακή άσκηση στο ακόλουθο εικονικό ηλεκτρολογικό εργαστήριο Δ. ΠΙΝΑΚΑΣ ΜΕΤΡΗΣΕΩΝ Ερώτηση: γιατί επιλέγουμε τη μέση τιμή των μετρήσεων των αυτεπαγωγών; Ε. ΣΥΜΠΕΡΑΣΜΑΤΑ ΣΤ. ΕΡΩΤΗΣΕΙΣ Επαληθεύστε την σχέση που δίνει τον συνολικό συντελεστή αυτεπαγωγής των πηνίων που συνδέονται σε σειρά. Εξετάστε τις τιμές που μεταξύ τους και προσπαθήστε να εξηγήστε τις τυχόν αποκλίσεις που παρατηρούνται.
ΤΟΜΕΑΣ ΗΛΕΚΤΡΟΛΟΓΙΑΣ, ΗΛΕΚΤΡΟΝΙΚΗΣ ΚΑΙ ΑΥΤΟΜΑΤΙΣΜΟΥ                                                                                                                       1o ΕΠΑΛ ΑΜΑΡΟΥΣΙΟΥ ΤΕΧΝΙΚΟΣ ΗΛΕΚΤΡΟΛΟΓΙΚΩΝ ΣΥΣΤΗΜΑΤΩΝ, ΕΓΚΑΤΑΣΤΑΣΕΩΝ ΚΑΙ ΔΙΚΤΥΩΝ                                                                                                 3ο ΕΚ Β ΑΘΗΝΑΣ (ΑΜΑΡΟΥΣΙΟΥ)
ΕΡΓΑΣΤΗΡΙΟ ΗΛΕΚΤΡΙΚΩΝ ΜΕΤΡΗΣΕΩΝ
Σκοπός της άσκησης Όταν οι μαθητές θα έχουν ολοκληρώσει την εργαστηριακή άσκηση θα είναι σε θέση να: -