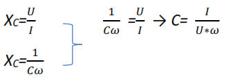
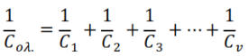
Μέτρηση Χωρητικότητας Πυκνωτή (C) Α. ΘΕΩΡΗΤΙΚΟ ΜΕΡΟΣ Πυκνωτής, είναι μια διάταξη δύο αγωγών (οπλισμών) που διαχωρίζονται από κάποιο μονωτή. Οι μεταλλικές πλάκες ονομάζονται οπλισμοί και το μονωτικό, διηλεκτρικό. Τα μονωτικά υλικά που χρησιμοποιούνται ως διηλεκτρικά είναι διάφορα κεραμικά και συνθετικά υλικά, χαρτί, λάδι, αέρας κ.λ.π. Οι δύο αγωγοί έχουν ίσο και αντίθετο φορτίο. Ο αγωγός με το θετικό φορτίο έχει μεγαλύτερο δυναμικό. Το ηλεκτρικό πεδίο μεταξύ των οπλισμών, άρα η διαφορά δυναμικού είναι ανάλογη του φορτίου ( νόμος Gauss). Ο λόγος αυτός είναι σταθερός και ονομάζεται χωρητικότητας C με μονάδα 1 F. Κάθε πυκνωτής χαρακτηρίζεται από την χωρητικότητά του, δηλαδή την ικανότητα που έχει να συγκρατεί στους οπλισμού του ηλεκτρικά φορτία. Το μέγεθος της χωρητικότητας καθορίζεται από τις διαστάσεις των οπλισμών από την μεταξύ τους απόσταση και από το είδος του διηλεκτρικού του πυκνωτή. Ο απλούστερος τύπος ενός πυκνωτή είναι ο επίπεδος : δύο παράλληλες επίπεδες αγώγιμες πλάκες με εμβαδόν Α και απόσταση d. Εξαιτίας της έλξης των αντίθετων φορτίων τα περισσότερα φορτία θα είναι στις απέναντι εσωτερικές επιφάνειες των πλακών. Το ηλεκτρικό πεδίο Ε στο χώρο μεταξύ των πλακών, έχει την ίδια επιφανειακή πυκνότητα δηλαδή δημιουργείται ένα ομογενές πεδίο. Η ένταση αυτή είναι : όπου σ: επιφανειακή πυκνότητα φορτίου. Το ηλεκτρικό φορτίο που περικλείεται από τη επιφάνεια είναι ίσο με : Έξω από τις πλάκες η ένταση του πεδίου είναι μηδέν αφού τα πεδία αλληλοαναιρούνται (σχηματίζονται θετικά και αρνητικά πεδία). η χωρητικότητα πυκνωτή με παράλληλους οπλισμούς. Δηλαδή η χωρητικότητα είναι σταθερή και εξαρτάται μόνο από τα χαρακτηριστικά του πυκνωτή. Σύνδεση πυκνωτών Σε σειρά: όλοι οι πυκνωτές έχουν το ίδιο φορτίο στην περιοχή μεταξύ δυο πυκνωτών ο ένας οπλισμός του ενός πυκνωτή έχει θετικό φορτίο και ο αντίστοιχός του άλλου αρνητικό η ολική χωρητικότητα δίνεται από τη σχέση: Παράλληλα: όλοι οι πυκνωτές βρίσκονται στην ίδια διαφορά δυναμικό , το φορτίο τους κατανέμεται ανάλογα με την τιμή της χωρητικότητας και η ολική χωρητικότητα είναι: Πυκνωτή στο εναλλασσόμενο Παρουσιάζει χωρητική αντίσταση και συμπεριφέρεται ως πηγή. Η χωρητική αντίσταση είναι: όπου ω η κυκλική συχνότητα του ρεύματος και είναι: Η φάση του ρεύματος σε κύκλωμα με πυκνωτή προπορεύεται κατά γωνία 90 ο από την τάση που εφαρμόζεται στα άκρα του. Β. ΚΥΚΛΩΜΑ ΜΕΤΡΗΣΕΩΝ Γ. ΠΟΡΕΙΑ ΕΡΓΑΣΙΑΣ Μέτρηση της χωρητικότητας Απαραίτητα όργανα και συσκευές που απαιτούνται για την εκτέλεση της άσκησης: Γεννήτρια Χ.Σ- Βολτόμετρο A.C- Αμπερόμετρο A.C Μέτρηση με βολτόμετρο και αμπερόμετρο Η μέτρηση της χωρητικότητας μπορεί να επιτευχθεί με αμπερόμετρο και βολτόμετρο με την προϋπόθεση ότι είναι γνωστή η συχνότητα του εναλλασσόμενου ρεύματος. Πραγματοποιούμε το παρακάτω κύκλωμα. Για πηγή χρησιμοποιούμε μια γεννήτρια χαμηλής συχνότητας κρατώντας την τάση και την συχνότητα σταθερή. Σημειώνουμε τις ενδείξεις των οργάνων. Εφαρμόζοντας τον νόμο του ΟΗΜ έχουμε : Η μέθοδος αυτή χρησιμοποιείται κυρίως στην βιομηχανία για πυκνωτές με μεγάλη χωρητικότητα. Να συμπληρώσετε τον Πίνακα 1 Τροφοδοτούμε το κύκλωμα με μια γεννήτρια χαμηλής συχνότητας, κρατώντας σταθερή την τάση και τη συχνότητα. Σημειώστε τις ενδείξεις του βολτόμετρου και του αμπερόμετρου και τη συχνότητα της γεννήτριας Χ.Σ στον πίνακα αποτελεσμάτων αντίσταση απωλειών του πυκνωτή με μεγάλη προσέγγιση θεωρείται ότι είναι αμελητέα) Με την βοήθεια του προσομοιωτικού προγράμματος phet Colorado όπως φαίνεται στο κύκλωμα Ακολουθώντας τον σύνδεσμό μπορούμε να υλοποιήσουμε το παραπάνω κύκλωμα και να αλλάξουμε τις συχνότητες διατηρώντας την τάση σταθερή. Να συμπληρώσετε τον Πίνακα 2 Χαράξτε από τα αποτελέσματα των μετρήσεων την χαρακτηριστική Χc (f), όπως στο σχήμα: Δ. ΠΙΝΑΚΑΣ ΜΕΤΡΗΣΕΩΝ Πίνακας 1 Πίνακας 2 Ε. ΣΥΜΠΕΡΑΣΜΑΤΑ ΣΤ. ΕΡΩΤΗΣΕΙΣ 1. Εξηγήστε τη συμπεριφορά των πυκνωτών στο AC. 2. Εξηγήστε τον τρόπο που μεταβάλλετε η χωρητική αντίσταση ΧC του πυκνωτή με την συχνότητα.
ΤΟΜΕΑΣ ΗΛΕΚΤΡΟΛΟΓΙΑΣ, ΗΛΕΚΤΡΟΝΙΚΗΣ ΚΑΙ ΑΥΤΟΜΑΤΙΣΜΟΥ                                                                                                                       1o ΕΠΑΛ ΑΜΑΡΟΥΣΙΟΥ ΤΕΧΝΙΚΟΣ ΗΛΕΚΤΡΟΛΟΓΙΚΩΝ ΣΥΣΤΗΜΑΤΩΝ, ΕΓΚΑΤΑΣΤΑΣΕΩΝ ΚΑΙ ΔΙΚΤΥΩΝ                                                                                                 3ο ΕΚ Β ΑΘΗΝΑΣ (ΑΜΑΡΟΥΣΙΟΥ)
ΕΡΓΑΣΤΗΡΙΟ ΗΛΕΚΤΡΙΚΩΝ ΜΕΤΡΗΣΕΩΝ
Σκοπός της άσκησης Όταν οι μαθητές θα έχουν ολοκληρώσει την εργαστηριακή άσκηση θα είναι σε θέση να: -- εξηγούν την λειτουργία του πυκνωτή -- μελετούν την συμπεριφορά του πυκνωτή στο AC -- προσδιορίζουν την χωρητικότητας του πυκνωτή -