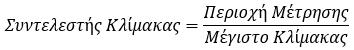
Μέτρηση με Αναλογικό Όργανο – Συντελεστής Κλίμακας Α. ΘΕΩΡΗΤΙΚΟ ΜΕΡΟΣ Για να μετρήσω με ένα αναλογικό όργανο πρέπει να υπολογίζω κάθε φορά τον συντελεστή κλίμακας του οργάνου (Σ.Κ) Ο συντελεστής κλίμακας δίνεται από τον τύπο: Το μετρούμενο μέγεθος υπολογίζεται ως εξής: Μετρούμενο μέγεθος = [Σ.Κ.] x [Ένδειξη του Οργάνου] Ένα όργανο μπορεί να έχει μία ή πολλές περιοχές μέτρησης και μία ή περισσότερες κλίμακες Β. ΚΥΚΛΩΜΑ ΜΕΤΡΗΣΕΩΝ Γ. ΠΟΡΕΙΑ ΕΡΓΑΣΙΑΣ Παρατηρήστε τρία αναλογικά όργανα μέτρησης Αναγνωρίστε τον τύπο κάθε οργάνου ανάλογα με το μέγεθος που μετρά Αναγνωρίστε τον τύπο κάθε οργάνου ανάλογα με τον τρόπο που γίνεται η μέτρηση Πόσες κλίμακες έχει κάθε όργανο και ποιες είναι αυτές Πόσες περιοχές μέτρησης έχει κάθε όργανο και ποιες είναι αυτές. Να υπολογίσετε τον Συντελεστή Κλίμακας κάθε οργάνου Να υπολογίσετε την τιμή του μετρούμενου μεγέθους κάθε οργάνου αν ο δείκτης έχει σταματήσει στην τιμή 10 Καταγράψτε τις απαντήσεις σας στον πίνακα Δ. ΠΙΝΑΚΑΣ ΜΕΤΡΗΣΕΩΝ Ε. ΣΥΜΠΕΡΑΣΜΑΤΑ
Οι πολλές κλίμακες σε ένα όργανο μέτρησης δίνουν τη δυνατότητα ακριβέστερης μέτρησης του μετρούμενου μεγέθους Οι πολλές περιοχές μέτρησης σε ένα όργανο μέτρησης δίνουν τη δυνατότητα επέκτασης της κλίμακας του οργάνου Ανάλογα με την κλίμακα και την περιοχή μέτρησης που χρησιμοποιούμε, υπολογίζουμε τον Συντελεστή Κλίμακας ώστε να υπολογίσουμε τη σωστή τιμή του Μετρούμενου Μεγέθους
ΤΟΜΕΑΣ ΗΛΕΚΤΡΟΛΟΓΙΑΣ, ΗΛΕΚΤΡΟΝΙΚΗΣ ΚΑΙ ΑΥΤΟΜΑΤΙΣΜΟΥ                                                                                                                       1o ΕΠΑΛ ΑΜΑΡΟΥΣΙΟΥ ΤΕΧΝΙΚΟΣ ΗΛΕΚΤΡΟΛΟΓΙΚΩΝ ΣΥΣΤΗΜΑΤΩΝ, ΕΓΚΑΤΑΣΤΑΣΕΩΝ ΚΑΙ ΔΙΚΤΥΩΝ                                                                                                 3ο ΕΚ Β ΑΘΗΝΑΣ (ΑΜΑΡΟΥΣΙΟΥ)
ΕΡΓΑΣΤΗΡΙΟ ΗΛΕΚΤΡΙΚΩΝ ΜΕΤΡΗΣΕΩΝ